В этой статье рассматривается торможение при прямолинейном движении. Это упрощенная конструкция и здесь не учитываются силы, действующие на мотоцикл в повороте.
Прежде чем подробно рассматривать особенности торможения необходимо более детально рассмотреть такое понятие как центр тяжести.
Положение центра тяжести мотоцикла оказывает значительное влияние на его динамическое поведение. Его положение зависит от распределения и количества масс отдельных компонентов мотоцикла - двигатель, бак, аккумулятор, выхлопные трубы, радиатор, колеса, вилка, рама и др. Больше всего на расположение центра тяжести влияет двигатель, его вес в среднем составляет около 25% от массы всего мотоцикла.

Продольное расположение центра тяжести легко вычислить зная вес мотоцикла и его распределение между колесами.

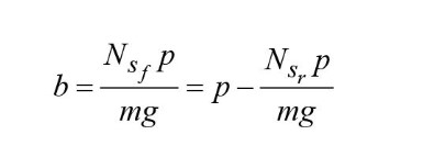
Распределение статических нагрузок на колеса можно выразить формулой:

В статике обычно у спортивных мотоциклов вес распределяется в пользу переднего колеса 50-57% против соответственно 43-50% и такое же соотношение, только наоборот, в пользу заднего, у туристических. Смещение центра тяжести вперед позволяет избежать отрыва переднего колеса при резком разгоне, равно как смещение его назад, позволяет уменьшить вероятность стоппи на торможении. Тут нужно понимать, что предпочтительнее с точки зрения безопасности. Самое маленькое соотношение b/p у скутеров – 0,35.
Кстати, современные гоночные мотоциклы стремятся к распределению нагрузки перед/зад 50 на 50.
Но, нам интересен, конечно, мотоцикл с водителем за рулем. В этом случае центр тяжести системы смещается назад и вверх.

Нагружая тем самым больше заднее колесо и разгружая переднее. Для примера мотоцикл с соотношением b/p = 0,53 после посадки водителя получает это соотношение примерно 0,5.
Теперь что касается высоты центра тяжести. Его высоту можно определить, измерив нагрузку только на одно колесо, например, заднее и с передним колесом, поднятым на известную величину.

Положение h рассчитывается по формуле:

Вертикальное положение центра тяжести также оказывает существенное влияние на динамическое поведение мотоцикла, особенно в фазах разгона и торможения. Чем он выше, тем быстрее нагрузка перераспределяется в пользу переднего колеса на торможении. Тем самым улучшается держак на переднем колесе, но и повышается вероятность опрокидывания вперед.
Что лучше, высокий или низкий центр тяжести? Все зависит от условий. При ускорении и торможении на мокрой и грязной дороге высокий центр тяжести лучше, поскольку это обеспечивает лучший зацеп, как на разгоне, так и на торможении. При ускоренни и торможении на дороге с хорошим зацепом низкий центр тяжести лучше, поскольку это снижает склонность мотоцикла к опрокидыванию вперед на торможении и назад на разгоне. При поворотах высокий центр тяжести лучше, потому что собственно мотоцикл поворачивает относительно центра тяжести. Подоробно это описано тут
Высота центра тяжести одного только мотоцикла имеет значения, варьирующиеся от 0,4 до 0,55 м, но присутствие водителя поднимает его до значений, варьирующихся от 0,5 до 0,7 м.
Соотношение h/p без водителя и с полностью разжатой подвеской колеблется в пределах 0,3-0,4; наименьшие значения для круизеров и скутеров, наибольшие для мотоциклов типа enduro и вообще у мотоциклов значительно выше, чем у автомобилей.
Теперь подробнее рассмотрим перераспределение веса между колёсами.
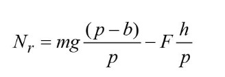
Для начала нам необходимо привести некоторые моменты, касающиеся сил, действующих на мотоцикл. Во время торможения нагрузка на переднее колесо увеличивается, в то время как нагрузка на заднее колесо уменьшается, и таким образом происходит перенос нагрузки с заднего колеса на переднее. Если рассматривать мотоцикл в фазе торможения, и применяя закон Ньютона к мотоциклу, мы можем рассчитать перераспределение нагрузки от заднего колеса к переднему.
Равновесие горизонтальных сил: m*ẍ = − Ff − Fr
Равновесие вертикальных сил: m*g − Nr − Nf =0
Равновесие моментов вокруг центра тяжести: − F*h – Nr*b + Nf*(p − b) = 0
Где F – это общая сила торможения, равная сумме Ff и Fr – тормозных сил переднего и заднего колес.
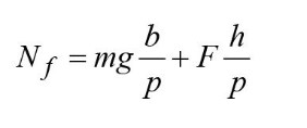
Динамическая нагрузка на переднее колесо равна сумме статической и перенесенной нагрузок:

Динамическая нагрузка на заднее колесо равна разнице между статической и перенесенной нагрузками:

Как видим, перераспределение нагрузки F *h / p прямо пропорционально общей тормозной силе и высоте центра тяжести и обратно пропорциональна колесной базе.
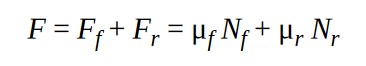
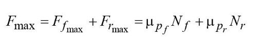
Для предотвращения срыва шины во время торможения величина тормозной силы, действующей на эту шину, не должна превышать произведение динамической нагрузки, действующей на эту шину, на коэффициент сцепления этой шины с дорожным покрытием. Это произведение представляет максимальное тормозное усилие, применимое к шине, то есть тормозное усилие на пределе скольжения. Этот параметр можно назвать коэффициентом сцепления: соответственно для переднего µpf и µpr для заднего колес:

До того, как колесо начнет скользить, будем использовать коэффициент тормозной нагрузки µ. Коэффициент тормозной нагрузки, как видно из уравнения выше – это отношение продольной, в данном случае тормозной, силы F к соответствующей вертикальной нагрузке N
![]()
В разных источниках по-разному используются данные термины, иногда даже в пределах одной статьи можно встретить обозначение µ и по отношению к коэффициенту сцепления и к коэффициенту тормозной нагрузки. Другими словами: коэффициент тормозной нагрузки это общее отношение тормозной силы к вертикальной нагрузке, коэффициент сцепления это максимальный коэффициент тормозной нагрузки, который может быть достигнут без скольжения колеса на данной шине и дорожном покрытии для данной среды и условий эксплуатации.
На графике ниже показано изменение динамических нагрузок на колеса в зависимости от тормозной силы.

Рассматриваемый мотоцикл имеет распределение статической нагрузки 50/50.
Допустим, мы имеем коэффициент тормозной нагрузки μ = 0,2 для обоих колес. Из графика видно, что значения динамических нагрузок на колеса примерно равны 0,4 на заднем и 0,6 на переднем. В этих условиях, если задний тормоз не используется, 40% максимального достижимого тормозного усилия не используется. Однако, если этот коэффициент очень высок, например μ = 0.9, нагрузка на переднее колесо составляет 0,95, в то время как нагрузка на заднее колесо составляет всего 0,05. В этом случае от заднего тормоза пользы практически нет.
В заключение можно сформулировать следующие общие принципы:
Также, судя по графику можно увидеть, что при увеличении общей тормозной силы нагрузка на заднее колесо достигает нуля. После этого заднее колесо отрывается и мотоцикл может опрокинуться вперед. В этой ситуации динамическая нагрузка на переднее колесо равна весу мотоцикла и направление результирующей динамической нагрузки и тормозной силы проходит через центр тяжести мотоцикла. Уравнение равновесия моментов относительно центра тяжести позволяет выразить тормозную силу в точке начала опрокидывания:

Низкое значение F указывает на повышенную склонность к опрокидыванию вперед. Или также показывает, что когда мотоцикл легкий и когда он имеет высокое и переднее положение центра тяжести он склонен к опрокидыванию вперед.
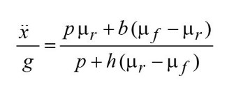
Уравнение движения, в условиях, когда опрокидывание неизбежно:


Максимальное замедление, выраженное в g, пропорционально расстоянию от проекции центра тяжести на дорожную поверхность до точки контакта переднего колеса и обратно пропорционально высоте центра тяжести. Важно отметить, что замедление на пределе опрокидывания зависит только от положения центра тяжести, а не от веса мотоцикла. Чтобы увеличить значение этого предела, необходимо понизить центр тяжести мотоцикла и/или поместить его как можно дальше назад.
Так какое же торможение будет оптимальным с математической точки зрения?
Уравнения равновесия для горизонтальных и вертикальных сил (см. выше) позволяют выразить замедление как функцию коэффициентов тормозной нагрузки для переднего и заднего колес:

Как видно замедление зависит от геометрических характеристик: колесной базы p , высоты центра тяжести h продольного расположения центра тяжести b, а также от коэффициентов тормозной нагрузки, но не зависит от массы мотоцикла.
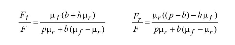
Если брать силу торможения каждого из колес отдельно, то ее зависимость от общей тормозной силы выражается так:

На грани срыва колеса, когда μ = µpf = µpr при равных коэффициентах сцепления для двух колес величина максимально возможного замедления становится:

Соотношение между тормозными силами, чтобы достичь предельного состояния на обоих колесах (равные коэффициенты сцепления), одновременно должно быть равно:

Это соотношение показывает, как распределить тормозные усилия между колесами, чтобы иметь оптимальное торможение, учитывая значение коэффициента μ
На графике ниже показаны кривые распределения коэффициентов тормозной нагрузки и замедления
Здесь мы видим, что замедление возрастает по мере увеличения коэффициентов тормозной нагрузки, особенно в отношении переднего колеса. Это понятно, так как, как уже было объяснено, что при торможении происходит перенос нагрузки с заднего колеса на переднее. Сплошные линии представляют собой распределение торможения между передними и задними колесами. Горизонтальная ось соответствует торможению только задним колесом (0/100), а вертикальная ось соответствует торможению только передним колесом (100/0). Цифры показывают полезность использования заднего тормоза, особенно при низком коэффициенте сцепления с тормозной системой. Его эффективность уменьшается, пока она не становится почти ничтожной при наличии очень высоких коэффициентов тормозной нагрузки.
Предположим, мы хотим затормозить мотоцикл с замедлением, равным 0,5 g. Возможные комбинации использования переднего и заднего тормозов, которые могли бы обеспечить желаемое замедление, являются бесконечными. Например, торможение только передним тормозом, замедление 0,5 g получается при использовании коэффициента тормозной нагрузки спереди, равного 0,68 (точка A ). С другой стороны, при распределении тормозных сил 80% спереди и 20% сзади следует использовать коэффициент тормозной нагрузки 0,55 спереди и 0,4 сзади (точка B).
Другую возможность видим в точке С, которая показывает распределение тормозной силы 60% спереди и 40% сзади, в которой наблюдается большее использование задней шины и соответственно меньшее использование передней.
Теперь предположим, что коэффициенты тормозной нагрузки передней и задней шин одинаковы.

На графике выше показано что при использовании одного и того же коэффициента тормозной нагрузки для двух шин мы получаем максимальное возможное замедление. Например, если коэффициент μ = 0,8 как для передних, так и для задних колес, то максимальное замедление (равное 0,8 g) получается при распределении тормозного усилия 90/10 - перед/зад. При таком распределении достигается максимальное использование двух шин. Далее на графике показано, что использование только переднего тормоза дает замедление, которое ниже на 0,67 g, и что использование только заднего тормоза дает только 0,29 g. Если покрытие более скользкое и коэффициент μ = 0,4, то оптимальное торможение происходит с другим распределением - 70/30 и дает замедление 0,4 g. Этот пример показывает, что оптимальное торможение требует различного распределения торможения между двумя колесами при изменении желаемого замедления. Фактически, линия 45°, соответствующая µf = µr, которая представляет собой линию оптимального торможения, пересекает различные кривые распределения торможения при изменении замедления. Это означает, что устройства для автоматического распределения торможения, которые присутствуют на некоторых мотоциклах, должны адаптировать распределение к условиям дороги. Кроме того, следует отметить, что в рассматриваемом примере не рекомендуется использовать заднее тормозное усилие, превышающее переднее.
Водитель мотоцикла должен уметь правильно рассчитать тормозной путь в разных условиях и максимально эффективно использовать тормозные системы мотоцикла, в том числе и задним тормозом. Но, одно дело графики оптимальных торможений, другое дело – использование органов управления в повседневной жизни. Чтобы создать комбинацию тормозных сил для переднего и заднего колес для каждой ситуации, в разных дорожных условиях, а также с условием перераспределения нагрузки между колесами в зависимости от интенсивности торможения, нужно быть профессионалом высочайшего класса.
Vittore Cossalter
motoshkola.ru