Прежде чем глубоко погружаться в дебри особенностей рулевого управления мотоцикла, следует учесть некоторые нюансы, которые проще всего разобрать на примере упрощенной кинематической схемы. Для особо дотошных приводим уравнения, для не особо дотошных - просто поверьте на слово. На всякий случай напомним основные геометрические параметры:
Более подробно о геометрии мотоцикла можно почитать тут
Итак, кинематическая схема рулевого механизма.
Предположим, что на вертикально стоящем мотоцикле мы поворачиваем руль. Сначала передок мотоцикла немного начнет опускаться, а затем, на очень больших углах поворота руля немного поднимется. Рассмотрим это утверждение для следующих двух случаев:
В случае, когда оффсет d равен нулю, центр переднего колеса находится в той же плоскости, в которой лежит рулевая колонка. Упростим задачу:
Как показано на рисунке ниже, когда мотоцикл стоит вертикально и угол поворота руля δ равен нулю, колесо лежит в плоскости xz

Кастор ε, угол поворота руля δ, угол наклона переднего колеса β, кинематический угол наклона переднего колеса ∆ (проекция угла наклона на плоскость поверхности дороги) и угол α связаны друг с другом следующими тригонометрическим уравнениями:
tan α = tan ε*cos δ, tan ∆ = tan δ *cos ε, sin β = sin α *sin δ
Тогда мы можем выразить sin α и cos α как функции δ и ε следующими уравнениями:

Теперь предположим, что точка О – центра переднего колеса остается на месте, не опускается и не поднимается. Поворот переднего колеса на угол δ заставляет его также отклониться от вертикали. Точка P это точка контакта переднего колеса с плоскостью дорожного покрытия. При повороте колеса и его наклоне мы получим точку D. И как видно, она отстоит дальше от центра переднего колеса. Расстояние OD больше, чем расстояние OP. Раз уж колесо при этом не становится больше, то можно предположить, что его центр опускается.
Если руль стоит прямо, то геометрический и механический трейл можно выразить следующими уравнениями
an = EP = Rf*sin ε
a = CP = Rf*tan ε
Если повернуть руль, то мы оперируем точками E1 и P1 и углом δ
Геометрический трейл в таком случае можно выразить следующим уравнением
a = an/cos α = Rf*tan ε *cos δ
Вертикальное смещение центра колеса представлено разницей
∆h = (OC – O1C)*cosε = (Rf/cosε–Rf/cos α)* cosε
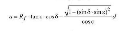
Теперь рассмотрим случай, когда оффсет не равен нулю.
И в этом случае понижение передка по оси рулевой колонки также подтверждается. Однако, формула, по которой рассчитывается смещение, должна быть скорректирована.

В случае, когда оффсет не равен нулю, геометрический трейл определяется по формуле

Механический трейл тогда по формуле:

Наличие оффсета приводит к тому, что при повороте колеса передок понижается на меньшую величину.

Рассмотрим это на примерах.
Итак, допустим, радиус переднего колеса Rf = 0,3 м, оффсет d = 0,05 м, кастор ε = 27⁰
Теперь подставим эти значения в расчет для угла поворота колеса 9⁰ и 45⁰
Для угла поворота колеса ε = 9⁰ понижение высоты передка ∆h равно
Если ε увеличить до 45⁰, то тогда получаем ∆h
Этот пример показывает, что игнорирование оффсета при расчетах приводит к значительной ошибке в части уровня понижения передка. Следует отметить, что диапазон поворота руля обычно составляет менее ± 35°. Но и то, такой диапазон поворота встречается исключительно на низких скоростях движения. Даже на скорости 20 км/ч вы не сможете повернуть руль на вышеуказанные 9 градусов, не говоря уж про более высокие скорости, на которых в среднем ездят мотоциклы, но все же, важно понимать суть.
Рассмотрим еще один пример:
Представьте два вертикально стоящих мотоцикла с одинаковым механическим трейлом, допустим a = 101mm., с одинаковым радиусом передних колес Rf = 0,3 м, но с разным значением угла наклона рулевой колонки – кастора ε1 = 27⁰ и ε2 = 20⁰
Если повернуть колесо на те же 9⁰, то значения ∆h получаем
Другими словами – чем меньше кастор, тем меньше понижение передка.
Теперь посчитаем значение трейла.
Если руль повернут на 9⁰, то кастор со 101 mm уменьшается
Короче, величина трейла хоть и незначительно но зависит от угла поворота руля.
Этот анализ показывает, что уменьшение трейла и понижение высоты передка зависит от углов наклона рулевой колонки и угла поворота руля. При этом мы не брали в расчет наклон самого мотоцикла и использовали для упрощения шины нулевой толщины. И еще, необходимо отметить: в рассмотренном примере мы анализировали поведение рулевого механизма на стоящем мотоцикле. Когда же мотоцикл движется, то угол δ незначителен, но при этом сам мотоцикл наклоняется. Из вышеприведенного анализа понятно, что уменьшение трейла и понижение передней части мотоцикла при повороте колеса обусловлено тем, что рулевая колонка имеет наклон. При движении на высоких скоростях угол поворота руля δ настолько мал, что им можно пренебречь, к тому же на разных стадиях поворота он может менять знак относительно продольной оси мотоцикла, но при этом плоскость переднего колеса, как и сам мотоцикл в повороте наклонена. В следующем разделе будем использовать более сложную кинематическую модель с учетом и угла наклона всего мотоцикла и радиуса поперечного сечения шин.
Vittore Cossalter
перевод motoshkola.ru